IgA腎病 (IgAN) 通常需要腎替代治療(KRT),因為其難治性以及皮質類固醇存在感染風險。然而,間充質干細胞因其再生和免疫調節特性而具有臨床益處。
干細胞治療IgA腎病后:安全性和耐受性良好,且腎損傷標志物和尿蛋白水平顯著下降
目前,《Kidney360》期刊雜志發表了一篇“脂肪間充質干細胞(ADR-001)治療IgA腎病的安全性和耐受性”的臨床試驗,這項前瞻性臨床試驗評估了脂肪來源的間充質干細胞 (ASC) 療法的安全性和耐受性,并評估了其治療效果[1]。

結果表明未觀察到嚴重的不良臨床事件。因此,證實了脂肪間充質干細胞治療腎病的安全性和耐受性。在脂肪間充質干細胞給藥后立即觀察到了改善,例如腎損傷標志物和尿蛋白水平顯著下降。
lgA腎病的現狀
IgA腎病 (IgAN) 表現出腎炎的體征,其特征是腎小球中IgA沉積占主導地位。成人IgAN治療包括控制血壓、改變生活方式和最大耐受劑量的腎素-血管緊張素系統抑制劑。皮質類固醇通常用于高風險IgAN。盡管一項試驗未能證明皮質類固醇在預防腎功能障礙進展方面的統計學效果,并報告皮質類固醇治療與嚴重感染的高風險相關,但另一項臨床試驗證明了類固醇治療的統計學效果。

然而,由于發生包括感染在內的不良事件,該試驗的方案提前改變。此外,臨床試驗證明了皮質類固醇和大劑量治療的有效性,但嚴重不良事件增加。
因此,迫切需要對IgAN進行不良反應最小的免疫抑制治療。我們假設間充質干細胞 (MSC) 可用作一種新型療法,因為在各種動物疾病模型中都觀察到了它們的再生和免疫調節特性。
干細胞治療lgA腎病的機制原理
干細胞治療IgA腎病的機制原理主要包括以下幾個方面:
- 分化功能:干細胞在體內能夠定向遷移到腎臟受損組織及慢性炎癥部位,并在那里“歸巢”。它們通過分泌作用產生一系列轉化生長因子,促進內源性干細胞分化為腎臟細胞,也可直接分化為腎實質細胞,從而對腎臟起到保護作用。
- 免疫調節:干細胞具有抗炎作用,能夠通過旁分泌減輕腎小管上皮細胞的壞死及間質炎癥細胞的浸潤程度,減少炎癥因子和趨化因子的表達,從而減輕腎臟的炎癥反應。
- 組織修復:干細胞能夠發揮抗氧化應激、抗纖維化作用,減輕腎臟組織損害,并分泌一系列生物活性分子修復損傷部位,提高腎臟供氧能力,提高腎功能。
- 異基因骨髓干細胞的作用:異基因骨髓干細胞提供者的抗原呈遞細胞在胸腺能有效呈遞異基因抗原,阻止異常自身反應的T淋巴細胞產生,使異常IgA產生減少,從而改善IgA腎病的相關指標,減少IgA腎病的異常癥狀。
- 阻止異常自身反應的T淋巴細胞產生:干細胞治療能夠阻止異常自身反應的T淋巴細胞產生,減少異常IgA的產生,改善IgA腎病患者的病情。
這些機制原理表明,干細胞治療通過多種方式對IgA腎病進行治療,包括促進受損腎臟細胞的修復和再生、調節免疫反應以及減輕炎癥和纖維化,為IgA腎病的治療提供了新的策略和希望。
干細胞治療lgA腎病的臨床案例
間充質干細胞可能是一種有效的IgAN治療方法。全球已開展了1000多項間充質干細胞臨床試驗,其中30多項臨床試驗針對腎臟疾病。已經觀察到有希望的結果,例如ASC給藥對腎動脈狹窄的有效性。
然而,脂肪間充質干細胞治療慢性腎病的臨床研究僅限于病例報告,同種異體脂肪間充質干細胞給藥對治療難治性腎炎的治療潛力尚不清楚。在這項前瞻性臨床試驗中,我們評估了單劑量和雙劑量靜脈注射同種異體脂肪間充質干細胞(ADR-001)治療IgAN的安全性和耐受性(主要終點)、不良事件和治療效果(次要終點)。
脂肪間充質干細胞(ADR-001)治療IgA腎病的安全性和耐受性的結果
臨床特征:九名患者參加了這項臨床試驗(圖1)。

主要終點:6周不良事件評估
在表1總結了所有患者在首次給藥后6周內發生的不良事件。

首次給藥后6周,9名患者中有5名(55.6%)共發生6次不良事件。第一組中3名患者中有1名(33.3%)發生1次不良事件,第二組中6名患者中有4名(66.7%)發生5次不良事件。
在表2列出了所有患者在首次服藥后6周內經歷的不良事件嚴重程度的匯總結果。

數據呈現如下:不良事件數量和發生不良事件的患者數量(發生不良事件的患者百分比)。首次給藥后 6周內觀察到的所有不良事件均為1級嚴重程度。
在表3列出了所有患者在服用第一劑后6周內經歷的不良事件按因果關系分類的匯總結果。

數據呈現方式如下:不良事件數量和發生不良事件的患者數量(發生不良事件的患者百分比)。關于因果關系,所有四名患者的D-二聚體水平升高被視為相關。一名患者發生的接觸性皮炎被視為不相關。
總結:我們在表1、2、3中在未觀察到嚴重的不良臨床事件。因此,證實了ASC的安全性和耐受性。
次要終點:臨床緩解、部分緩解、尿蛋白緩解、血尿緩解和緩解時間
達到臨床緩解、部分緩解、尿蛋白緩解和血尿緩解的患者列于補充表7中。緩解時間如圖2所示。9名患者中有2名(22.2%)達到部分緩解。

實線代表隊列1中的患者。虛線代表隊列 2 中的患者。(A)顯示臨床緩解時間,定義為尿蛋白和血尿緩解。(B)顯示部分緩解時間,定義為尿蛋白或血尿緩解。(C)顯示尿蛋白緩解時間。(D)顯示血尿緩解時間。
這2名患者均出現血尿緩解。其中一名患者來自隊列1,另一名來自隊列2。隊列1中達到部分緩解和血尿緩解的患者在整個研究期間尿沉渣和紅細胞計數均<1/高倍視野。
次要終點:尿蛋白和血尿水平、尿液L-FABP水平和eGFR的變化
每位患者的尿蛋白水平在服用ADR-001后立即下降,并隨著時間的推移逐漸恢復到基線水平(圖3)。

圖中顯示了第一組(A)和第二組(B)的蛋白尿。
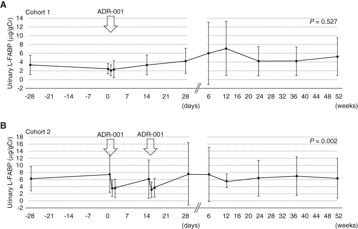
血尿水平和血尿水平趨勢分別列于補充表9和表6中。隊列2的尿液L-FABP水平顯著下降(圖4)。

圖中顯示了第一組 (A) 和第二組 (B) 的尿液 L-FABP。L-FABP,肝臟脂肪酸結合蛋白。
eGFR趨勢列于補充表10中。所有患者基線平均eGFR為81ml/min/1.73m2,治療后52周為75ml/min/1.73m2。
脂肪間充質干細胞(ADR-001)治療IgA腎病的安全性和耐受性的結果討論
我們評估了ADR-001對IgAN患者靜脈注射一次或兩次的安全性、耐受性和療效。本研究共招募了9名患者,其中5名 (55.6%) 患者在首次給藥后的6周內出現不良事件。
在研究期間,9名患者中有6名(66.7%)發生了不良事件,但這些不良事件并不嚴重。此外,治療后6周內發生的不良事件被認為與ADR-001無關,在52周的觀察期內未觀察到長期不良反應。這些結果支持ADR-001對IgAN患者的安全性和耐受性。
本研究證實了ADR-001對IgAN患者的安全性和耐受性(主要終點)。僅觀察到實驗室值輕微異常。未觀察到臨床不良事件。
作為次要終點評價的療效方面,沒有患者達到臨床緩解或尿蛋白緩解。但是,所有患者的尿蛋白水平在接受ADR-001治療后的第二天均顯著下降。在本研究中,尿蛋白水平下降了不到一半。由于患者僅接受1至2小時的ADR-001輸注,盡管他們臥床休息,但我們認為臥床休息的影響很小,尿蛋白水平的下降歸因于ADR-001。
此外,作為腎功能損害標志的L-FABP水平也下降了;這被認為是ADR-001的作用。由于IgA疾病期間的尿蛋白水平可作為腎臟預后的指標,因此ADR-001有望成為一種有效的IgAN治療藥物。
目前,人們已經開始探索將MSCs用于治療其他疾病。
- 對來自骨髓的同種異體MSCs用于治療糖尿病腎病的安全性評估已證實了它們的安全性,并表明它們具有減緩eGFR下降的潛力。
- MSCs可以減少腎移植所需的免疫抑制劑劑量并改善抗體相關的排斥反應。
- 此外,人們還對來自骨髓的同種異體MSCs用于治療自身免疫性疾病SLE的安全性和耐受性進行了研究。
- 一項研究評估了向因AKI而需要持續血液凈化治療的患者施用來自骨髓的同種異體MSCs,并觀察了隨后的體內反應。
- 另一項研究表明,通過腎動脈施用自體ASC可改善腎血管疾病患者的腎血流和GFR。
總而言之:據我們所知,這是第一項針對慢性腎小球腎炎患者(特別是IgAN)進行間充質干細胞治療的研究。我們的研究結果證明了MSCs的安全性和耐受性;因此,它們具有相當大的臨床意義。值得注意的是,我們觀察到在注射ADR-001后尿蛋白水平立即顯著降低。雖然這些結果需要進一步驗證,但我們對ADR-001的療效持樂觀態度。
綜上所述,ADR-001對IgAN患者的安全性和耐受性得到了證實,此外,本研究提示ADR-001對部分患者可能有效,并能改善尿蛋白和血尿指標。
參考資料:[1]:Tanaka, Akihito1; Furuhashi, Kazuhiro1; Fujieda, Kumiko1; Horinouchi, Asuka2; Maeda, Kayaho2; Saito, Shoji1; Mimura, Tetsushi3; Saka, Yosuke3; Naruse, Tomohiko3; Ishimoto, Takuji4; Kato, Noritoshi2; Kosugi, Tomoki2; Kinoshita, Fumie5; Kuwatsuka, Yachiyo5; Nakai, Yasuhiro5; Maruyama, Shoichi2. Safety and Tolerability of Adipose-Derived Mesenchymal Stem Cell (ADR-001) Therapy for IgA Nephropathy. Kidney360 5(11):p 1692-1705, November 2024. | DOI: 10.34067/KID.0000000000000563
免責說明:本文僅用于傳播科普知識,分享行業觀點,不構成任何臨床診斷建議!杭吉干細胞所發布的信息不能替代醫生或藥劑師的專業建議。如有版權等疑問,請隨時聯系我。
掃碼添加官方微信