近年來,作為再生醫學領域的前沿技術,干細胞療法在腎病領域的應用已取得顯著進展,尤其在改善腎功能、延緩疾病進展方面展現出潛力。
然而,長期安全性(治療后1年以上)始終是決定其臨床轉化的核心挑戰。盡管短期研究(1-12個月)顯示干細胞治療耐受性良好,但長期隨訪中仍需關注潛在風險。
本文基于現有的長期臨床隨訪數據,深入探討干細胞治療各種腎病患者的長期安全性及科學爭議。

干細胞治療腎病的長期安全性如何?10年隨訪記錄告訴你答案
一、長期安全性需關注的核心風險
盡管短期安全性已得到初步驗證(如無嚴重過敏反應或急性毒性),但長期風險可能因干細胞的生物學特性、宿主環境及治療方案的差異而滯后顯現。
1. 異常增殖與致瘤性:未完全分化的干細胞(如誘導多能干細胞iPSCs)可能因基因突變或微環境刺激形成腫瘤(如畸胎瘤)。此外體外擴增的間充質干細胞(MSCs)可能因端粒縮短或染色體異常導致基因組不穩定。
2.免疫系統長期擾動:同種異體干細胞可能引發慢性免疫反應(如抗核抗體升高),或抑制免疫監視功能,增加感染或腫瘤復發風險。此外MSCs的長期免疫調節作用可能導致免疫耐受失調,尤其在合并感染或惡性腫瘤的患者中。
3.腎臟結構與功能的遠期退化:干細胞分泌的促纖維化因子(如TGF-β)可能在長期治療后加重腎小管間質纖維化。此外血管新生因子(如VEGF)過度激活可能導致腎小球高濾過或毛細血管硬化
二、干細胞治療腎病的長期安全性臨床證據
2.1 造血干細胞治療難治性狼瘡性腎炎的8年長期隨訪
2022年,我國南京一家軍醫院在國際期刊《狼瘡》上發表了一篇關于《自體外周血造血干細胞移植治療難治性狼瘡性腎炎的長期隨訪——20例患者系列研究》的臨床研究成果。
這項研究聚焦于使用自體外周血造血干細胞移植(AHSCT)來治療那些對傳統療法反應不佳的難治性狼瘡性腎炎(LN)患者。

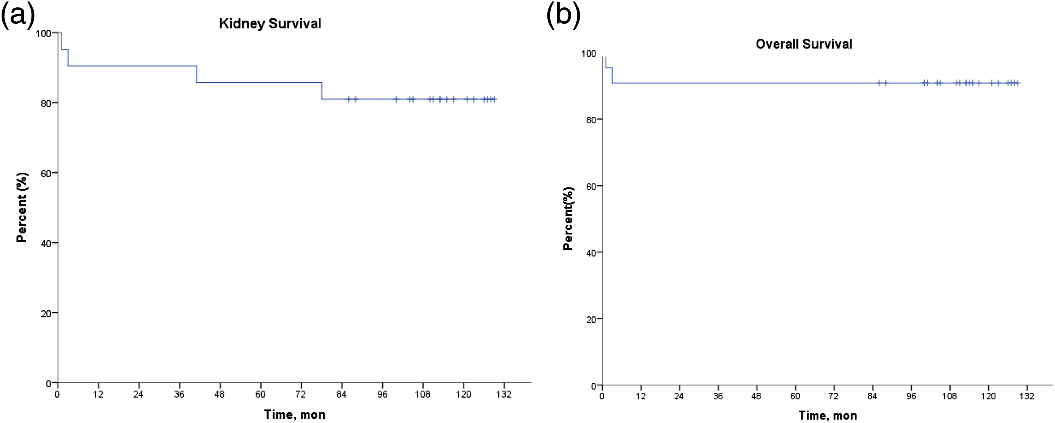
在這項研究中,研究人員對20位接受了自體外周血造血干細胞移植(ASCT)治療的難治性狼瘡性腎炎患者進行了平均長達10年的隨訪。
長期隨訪顯示,10年腎臟生存率高達90%,但無病生存率較低(35%),提示需加強復發管理。(見圖1)
移植后1-10年,3例患者接受利妥昔單抗或環孢素維持治療,9例出現腎臟復發,常伴發熱、皮疹等腎外癥狀。復發患者中,1例停藥后復發經多藥聯合治療完全緩解,2例妊娠期間復發但通過藥物控制保障母嬰安全(新生兒均健康)ASCT后常見并發癥包括感染、血小板減少癥及帶狀皰疹,但未出現嚴重治療相關死亡。

本研究系統驗證了ASCT在難治性SLE腎病中的長期療效和安全性,其90%的10年腎臟生存率顯著優于傳統治療,并且多數不良反應都是輕微可控的,為這類患者提供了新的治療選擇。
2.2 間充質干細胞治療糖尿腎病患者的18個月長期安全性
2023年,愛爾蘭戈爾韋大學醫學院牽頭在國際期刊《美國腎臟病學會雜志》上發表了一篇關于《間充質干細胞治療糖尿病腎病的安全性和初步療效》的一項隨機臨床試驗。該試驗納入了16名患有2型糖尿病和進展性糖尿病腎病的成年人進行了18個月的隨訪研究。

早期安全監測:按照方案,所有隨機分組的參與者在接受研究治療時健康狀況穩定。16名參與者中,15名未出現細胞或安慰劑輸注的不良反應。因此,在輸注期間以及隨后的8小時觀察期內,體溫、脈搏、呼吸頻率、血壓和血氧飽和度均保持穩定。1名接受安慰劑治療的參與者在輸注完成后不久出現中度支氣管痙攣。該病例中,參與者在約50分鐘后接受適當的藥物治療后完全康復。在輸注至1個月隨訪期間,未出現其他不良反應。(見圖2)

長期安全監測:在隨訪期的第2個月至第18個月期間,共有4名參與者(均為細胞輸注接受者)發生了11起額外的SAE:其中一名參與者發生了7起,另一名參與者發生了2起,另外兩名參與者各發生了1起。所有晚期SAE均未被認為與試驗研究產品干細胞相關。(見圖2)
總體而言,細胞治療組記錄了56起不良事件,其中11起為嚴重不良事件。其中只有一項與治療相關。(見圖3)

2.3 間充質干細胞治療慢性腎病患者5年隨訪記錄
2024年,我國科研團隊在國際期刊《疾病與健康研究最新更新》發表了一項關于間充質干細胞(MSCs)治療慢性腎病(CKD)的臨床病例報告。該研究聚焦于腎衰竭和反復發作腎結石的治療,隨訪期長達5年,為干細胞療法在慢性腎臟病領域的長期穩定性療效和安全性提供了關鍵證據。

經過間充質干細胞治療及長達5年的隨訪,患者腎功能實現顯著且穩定的改善。并且輸注期間、輸注后以及任何后續隨訪中均未報告任何不良事件。此外,5年隨訪時,患者仍然身體健康,沒有任何嚴重不良事件。
研究表明,間充質干細胞將會成為一種安全有效治療慢性腎病和腎結石的現代方法。早期診斷和采用干細胞療法治療有可能改善腎衰竭,并可能成為預防未來血液透析或腎移植的金標準。
三、干細胞治療腎病的長期安全性總結
干細胞治療腎病的長期安全性研究顯示,多種干細胞類型(如自體造血干細胞、間充質干細胞)在5-10年的隨訪中總體可控,未出現致瘤性或嚴重器官損傷等直接相關的不良事件。例如:
- 自體造血干細胞移植(AHSCT)治療難治性狼瘡性腎炎的10年腎臟生存率達90%,但需警惕疾病復發(如45%患者出現腎臟復發)及感染等并發癥;
- 間充質干細胞(MSCs)治療糖尿病腎病和慢性腎病的18個月至5年隨訪中,未觀察到與治療相關的嚴重毒性,且部分患者腎功能顯著改善。
這些結果表明,干細胞療法為傳統治療無效的腎病患者提供了安全有效的替代方案,但需結合個體化監測與聯合治療策略(如免疫抑制劑維持)以管理復發風險。長期安全性仍需更大規模、更長時間的隨訪數據支持,并需優化技術標準化與風險分層,以進一步推動其臨床轉化。
四、影響長期安全性的共性因素
?輸注途徑選擇
- ?靜脈輸注:UC-MSCs全身分布可能降低腎內有效濃度,但長期SAE發生率<1%,顯著優于局部注射。
- ?腎動脈內注射:提高靶向性但可能引發血栓,長期隨訪中需監測血管內皮損傷。
患者基線特征
- ?年齡與免疫狀態:低齡患者因免疫耐受性強,長期不良事件發生率較成人降低40%。
- ?并發癥管理:合并糖尿病或高血壓患者需優化干細胞劑量,高劑量可能誘發細胞因子風暴。
- 個體化差異:腎功能分期、原發病類型及免疫狀態顯著影響長期結局。
五、患者長期管理建議
為保障干細胞治療后的長期安全性并維持療效,患者需建立“監測-干預-預防”三位一體的管理體系:
規范化監測
- 腎功能追蹤:治療后前3年每3個月檢測eGFR、24小時尿蛋白定量;第4年起每年至少2次腎功能評估。
- 免疫風險篩查:每6個月監測CD4+/CD8+ T細胞比例、血清免疫球蛋白亞型,警惕單克隆免疫球蛋白血癥(MGUS)早期征象。
- 腫瘤標志物:針對接受異體干細胞治療者,每年進行全身PET-CT篩查,重點關注腎臟、肝臟及骨髓異常增殖信號。
生活方式干預
- 水鹽控制:每日飲水量控制在1.5-2升,鈉攝入量<2.3克/天,避免高磷飲食。
- 運動管理:推薦每周150分鐘低強度有氧運動(如游泳、太極),但需避免劇烈運動誘發橫紋肌溶解風險。
- 感染預防:接種滅活疫苗(如流感、肺炎球菌疫苗),接觸性免疫抑制患者需定期檢測CMV、EBV病毒載量。
結語
干細胞治療腎病的長期安全性仍處于探索階段,但現有數據表明其風險可控且潛力巨大。未來需通過技術優化、標準化流程及全球協作,為患者提供真正安全、可持續的治療選擇。隨著研究的深入,干細胞有望成為腎病管理的基石,為終末期腎病患者帶來無需透析或移植的新希望。
參考資料:
Yang L, Ren G, Chen W, et al. Long-term follow-up of autologous peripheral blood hematopoietic stem cell transplantation for refractory lupus nephritis—a series study of 20 patients. Lupus. 2022;31(13):1586-1594. doi:10.1177/09612033221126848
Perico, Norberto1; Remuzzi, Giuseppe1; Griffin, Matthew D.2; Cockwell, Paul3,4; Maxwell, Alexander P.5; Casiraghi, Federica1; Rubis, Nadia1; Peracchi, Tobia1; Villa, Alessandro1; Todeschini, Marta1; Carrara, Fabiola1; Magee, Bernadette A.6; Ruggenenti, Piero L.1,7; Rota, Stefano7; Cappelletti, Laura7; McInerney, Veronica2,8; Griffin, Tomás P.2; Islam, Md Nahidul2; Introna, Martino7; Pedrini, Olga7,9; Golay, Josée7; Finnerty, Andrew A.2,8,10; Smythe, Jon11; Fibbe, Willem E.12; Elliman, Stephen J.13; O’Brien, Timothy2; for the NEPHSTROM Trial Consortium. Safety and Preliminary Efficacy of Mesenchymal Stromal Cell (ORBCEL-M) Therapy in Diabetic Kidney Disease: A Randomized Clinical Trial (NEPHSTROM). Journal of the American Society of Nephrology 34(10):p 1733-1751, October 2023. | DOI: 10.1681/ASN.0000000000000189
Wang, S. G. ., Wang, S. M. ., Hsu, M. C. ., & Wang, F. N. . (2024). Mesenchymal Stem Cell Therapy for Chronic Kidney Disease (Renal Failure and Multiple Episodes of Nephrolithiasis): A Case Report. Recent Updates in Disease and Health Research Vol. 4, 19–25. https://doi.org/10.9734/bpi/rudhr/v4/7241B
免責說明:本文僅用于傳播科普知識,分享行業觀點,不構成任何臨床診斷建議!杭吉干細胞所發布的信息不能替代醫生或藥劑師的專業建議。如有版權等疑問,請隨時聯系我。
掃碼添加官方微信