半月板損傷作為骨科領域的常見難題,因其特殊的解剖結構(如血供匱乏的“白區”)和傳統治療手段的局限性(如術后骨關節炎風險),始終面臨“短期癥狀緩解易,長期結構修復難”的困境。近年來,干細胞療法的崛起為這一領域注入了革命性動力:

那么,干細胞治療半月板損傷的短期效果能否轉化為長期穩定?是什么機制和原理讓干細胞治療半月板損傷短期成效轉化為長期穩固?如何評估干細胞治療半月板損傷患者的短期療效和長期療效?免疫排斥與個體化差異如何影響療效持續性?本文基于臨床試驗數據,深度解析干細胞治療半月板損傷從短期的關節功能改善到長期的影像學修復,為患者與醫療從業者提供科學決策依據。
干細胞治療半月板損傷的五大關鍵機制
1. 多向分化潛能:干細胞,尤其是間充質干細胞(MSCs),具有多向分化潛能,能夠分化為半月板細胞。這些細胞可以遷移到損傷部位,并分化為具有修復功能的細胞,從而促進半月板組織的再生。
2. 生物活性因子的分泌:干細胞能夠分泌多種生物活性因子,如生長因子、細胞因子等。這些因子可以調節局部微環境,促進血管生成、細胞遷移和分化,從而加速半月板的修復過程。例如,轉化生長因子-β3(TGF-β3)和連接組織生長因子(CTGF)已被證明可以誘導細胞分化為類似正常半月板組織的細胞表型。
3. 免疫調節作用:干細胞具有免疫調節功能,可以抑制炎癥反應,減少炎癥細胞的浸潤和炎癥因子的釋放。這種免疫調節作用有助于減輕半月板損傷后的炎癥反應,為組織修復創造良好的環境。
4. 自體修復能力的激活:干細胞治療還可以通過激活半月板組織自身的修復能力來促進愈合。在半月板損傷后,滑膜液中的MSCs數量會增加,這些細胞可以遷移到損傷部位并參與修復。
5. 血管生成的作用:血管生成是半月板修復過程中的一個重要因素。干細胞可以促進血管生成,通過提供生長因子和炎癥過程來支持半月板的修復。
綜上所述,干細胞治療半月板損傷的機制是多方面的,涉及細胞分化、生物活性因子分泌、免疫調節、血管生成。這些機制共同作用,促進半月板組織的再生和功能恢復。
評估干細胞治療半月板損傷患者短期療效和長期療效的標準有哪些?
短期療效評估標準(1-12個月)
疼痛程度:使用視覺模擬評分法(VAS)等工具來評估患者的疼痛程度。一般在治療后的 1-3 個月內進行評估,如果患者的 VAS 評分較治療前明顯降低,例如降低 3 分及以上,通常表示疼痛得到了有效緩解,提示干細胞治療在短期內可能有一定效果。
關節功能:采用膝關節功能評分系統,如 Lysholm 評分、IKDC 評分等。這些評分系統涵蓋了膝關節的多個方面,包括疼痛、穩定性、日常活動能力等。在治療后的短期內(3-6 個月),如果患者的評分有顯著提高,說明關節功能有所改善,干細胞治療可能起到了積極作用。
腫脹情況:通過觀察和測量膝關節的腫脹程度來評估。一般在治療后的 1-2 周內,若腫脹明顯減輕,表明炎癥得到了控制,這也是干細胞治療短期有效的一個表現。
MRI 檢查:在治療后的 3-6 個月進行 MRI 檢查,觀察半月板的形態、信號強度等變化。如果發現半月板損傷區域的信號有所改善,或者損傷部位有修復的跡象,如出現新生組織等,提示干細胞治療可能對半月板損傷的修復有促進作用。
長期療效評估標準(12個月以上)
關節功能維持:長期觀察患者的膝關節功能,持續跟蹤 Lysholm 評分、IKDC 評分等。若在治療后的 1-2 年甚至更長時間內,患者的關節功能評分仍能保持在較高水平,且沒有明顯的下降趨勢,說明干細胞治療的效果具有持續性,對關節功能的改善起到了長期的積極作用。
疼痛復發情況:關注患者疼痛是否復發以及復發的程度。如果在較長時間內(1 年以上)患者的疼痛沒有明顯復發,或者疼痛程度較治療前明顯減輕,且不需要依賴大量的止痛藥物來緩解疼痛,說明干細胞治療在長期內對疼痛的控制較為有效。
日常活動能力:評估患者在日常生活中的活動能力,如行走、上下樓梯、蹲起、跑步等。長期來看,如果患者能夠正常進行這些活動,且活動時沒有明顯的不適或受限,表明干細胞治療對患者的生活質量有顯著的提高,長期療效較好。
再次損傷風險:觀察患者在接受干細胞治療后的一段時間內(1-2 年),半月板再次損傷的發生率。如果與未接受干細胞治療的類似患者群體相比,接受治療的患者半月板再次損傷的風險明顯降低,說明干細胞治療可能增強了半月板的修復和再生能力,提高了其抵抗損傷的能力,具有較好的長期療效。
影像學檢查:通過定期的 MRI 檢查(如治療后 1 年、2 年等),觀察半月板的修復情況。如果發現半月板損傷處持續有修復跡象,新生組織逐漸成熟,且關節軟骨的退變沒有進一步加重,甚至有所改善,這是干細胞治療長期有效的重要證據。
干細胞治療半月板損傷:如何實現從短期的關節功能改善到長期的影像學修復?
短期療效:關節功能恢復(1-12個月)
臨床案例一、
2019年8月7日,墨西哥國家康復研究所的研究人員在國際期刊《Cartilage》上發布了一篇《聚氨酯半月板支架與間充質干細胞的首次臨床應用以及12個月時T2映射對軟骨質量的評估》的研究結果。【1】
通過 T2 映射評估半月板用富含間充質干細胞 (MSC) 的聚氨酯支架替代后關節軟骨的狀態,并與 12 個月時的無細胞支架進行比較。術后12個月,通過股骨和脛骨T2顯像評估關節軟骨質量的變化。

關節功能改善:脛骨 T2 映射中,MPS 組值在 9 個月時略有增加,但在 12 個月時恢復到初始值。APS 組從 3 個月到 12 個月明顯下降)。在最后時間點,APS 組的這一差異趨于顯著低于 MPS 組。股骨方面,MPS 組(47.8 ± 3.4)與 APS 組(45.3 ± 4.9)相比略有增加。
安全性評估:任何需要再次手術或術前癥狀(疼痛和功能障礙)持續存在的情況很可能是由裝置機械故障或支架與半月板殘余部分未整合造成的。12個月時未觀察到植入物失敗的情況。
總結:聚氨酯支架替代半月板12個月后鄰近軟骨T2mapping值仍維持正常,12個月時未觀察到植入物失敗的情況,可以達到干細胞治療半月板損傷短期療效的目標。
臨床案例二、
2021年6月25日,印度StemRx Bioscience Solutions Pvt. Ltd.的研究人員在國際期刊《Case Reports in Orthopedics》上發布了一篇《自體微創細胞療法治療半月板和前交叉韌帶再生》的研究結果。【2】
患者在1個月內接受了兩次基于間充質干細胞和生長因子的治療,兩次治療之間間隔15天。

每次治療后,患者均在術后24小時開始積極的物理治療康復和生活方式調整。由于該手術為微創手術,患者在每次治療后,經過全面的生命體征和全身狀況評估后,于次日出院。醫生指示患者在家繼續進行物理治療。
關節功能改善:治療結束后一個月進行隨訪。患者在第一次細胞療法治療后疼痛明顯緩解。第二次治療后,疼痛消失,活動范圍有所改善。持續的物理治療也觀察到下肢肌肉力量的增強。從治療開始(11個月前)到最后一次隨訪(4個月前),患者通過遵循建議的飲食和運動方案減重11公斤。因此,她現在整體健康狀況良好,能夠更舒適地進行日常生活活動。
MRI:治療前后的MRI結果

治療前 MRI 顯示內側和外側半月板后角 III 級撕裂。

治療后MRI檢查顯示內側和外側半月板后角撕裂有所改善。患者癥狀改善,日常生活活動能力增強。

安全性評估:未出現嚴重不良事件。
結論:間充質干細胞治療后,MRI檢查顯示內側和外側半月板后角撕裂有所改善 ,關節功能也有改善,未出現嚴重不良事件。可以達到干細胞治療半月板損傷短期療效的目標。
長期療效:關節功能和影像學持續改善(12個月以上)
臨床案例三、
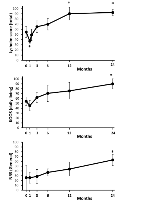
2019年7月17日,日本東京文京區東京醫科牙科大學的研究人員在國際期刊《Cell transplantation》上發布了一篇《膝關節內側半月板復雜退行性撕裂手術修復后滑膜間充質干細胞移植的附加應用:病例報告》的研究結果。【3】
我們評估了 2 年的臨床結果并評估了不良事件。我們納入了臨床癥狀包括不穩定感以及由內側半月板復雜退行性撕裂引起的疼痛的患者。

關節功能改善:由于手術的侵入性,術后 4 周 Lysholm 膝關節總評分下降,隨后再次升高,1 年時明顯高于治療前,并維持至 2 年。8 個子評分中,“腫脹”和“疼痛”評分在 1 年和 2 年時均明顯高于治療前;“跛行”和“上下樓梯”評分在 2 年時明顯升高。“疼痛”、“日常生活”、“體育和娛樂活動”的 KOOS 在 2 年時均明顯升高。一般和其他類別的 NRS 持續升高,并在 2 年時具有顯著性。

MRI檢查發現半月板損傷處修復:3D MRI 顯示 2 年時半月板撕裂難以辨別。

安全性評估:沒有發生導致研究終止的重大不良事件。六名患者(包括一名因細胞增殖問題取消移植的患者)共記錄了 39 起輕微不良事件。報告最多的不良事件是半月板修復后的膝蓋疼痛。
結論:滑膜間充質干細胞移植后,2年的隨訪中,患者的關節功能改善,MRI檢查發現半月板損傷處恢復,沒有發生導致研究終止的重大不良事件。可以達到干細胞治療半月板損傷長期療效的目標。
臨床案例四、
2021年6月10日,日本東京醫科齒科大學的研究人員在國際期刊《Orthopaedic Journal》上發布了一篇《半月板修復和滑膜間充質干細胞移植后二次關節鏡檢查治療內側半月板退變性皮瓣和放射狀撕裂:病例報告》的研究結果。【4】
本研究的目的是比較半月板修復和滑膜間充質干細胞 (MSC) 移植治療前后一年的退變皮瓣和內側半月板 (MM) 放射狀撕裂的關節鏡發現情況。癥狀平均持續時間為24個月。

影像學檢查:4例MM皮瓣撕裂患者在治療前后交界區中央區域出現缺損,但其中2例患者該區域完全恢復穩定光滑狀態,另2例患者該區域部分恢復。治療前后交界區中央區域皮瓣撕裂的關節鏡評分為0.3±0.5,治療后為4.3±2.1,治療后評分顯著升高。2例患者原有放射狀MM撕裂在治療一年后愈合。
關節功能:治療后4周和52周的Lysholm評分顯著高于治療前。
安全性評估:未出現嚴重不良事件。
結論:間充質干細胞移植后,隨訪24個月內,患者影像學和關節功能顯著改善,未發生嚴重不良事件。可以達到干細胞治療半月板損傷長期療效的目標。
哪些因素會影響干細胞治療半月板損傷的療效?
患者自身因素
- 年齡:年輕患者的身體代謝和自我修復能力通常較強,干細胞在其體內可能更容易發揮作用,促進半月板的修復。而隨著年齡增長,身體的各項機能逐漸衰退,包括干細胞的活性和增殖能力也會下降,可能會影響治療效果。
- 基礎健康狀況:患者如果存在其他基礎疾病,如糖尿病、心血管疾病等,可能會影響身體的內環境,不利于干細胞的存活和分化,進而影響治療效果。例如,糖尿病患者的血糖控制不佳,會導致局部組織的血液循環和營養供應受到影響,干細胞的生長和修復環境也會受到干擾。
- 損傷程度:半月板損傷的程度和類型對治療效果有重要影響。一般來說,輕度損傷如半月板的部分撕裂,通過干細胞治療可能更容易實現修復。而重度損傷,如半月板的完全斷裂或大面積損傷,由于損傷范圍較大,干細胞需要修復的組織量多,治療難度相對較大,療效可能會受到一定影響。
干細胞相關因素
- 來源:不同來源的干細胞具有不同的特性和分化潛能。例如,骨髓間充質干細胞具有較強的自我更新和多向分化能力,在合適的條件下能夠分化為軟骨細胞,修復半月板損傷。而脂肪干細胞雖然也具有一定的分化能力,但在分化為軟骨細胞的效率和質量上可能與骨髓間充質干細胞存在差異。
- 質量:干細胞的質量直接關系到治療效果。高質量的干細胞應具備高活性、高純度、低免疫原性等特點。如果干細胞在采集、培養、儲存等過程中受到污染,或者細胞的活性受到影響,那么在回輸到患者體內后,可能無法有效地發揮修復作用。
- 劑量:干細胞的治療劑量需要根據患者的具體情況進行優化。劑量過低,可能無法提供足夠的細胞數量來促進半月板的修復;劑量過高,則可能會增加不良反應的發生風險,同時也可能造成資源浪費。
治療過程相關因素
- 治療時機:半月板損傷后盡早進行干細胞治療,可能會取得更好的效果。因為早期損傷部位的炎癥反應相對較輕,組織的微環境更有利于干細胞的存活和分化。如果損傷后拖延時間過長,損傷部位可能會出現纖維化、瘢痕組織形成等,增加了修復的難度,影響干細胞的治療效果。
- 治療方式:干細胞的移植方式有多種,如關節腔內注射、局部植入等。不同的移植方式可能會影響干細胞在損傷部位的分布和留存率。例如,關節腔內注射操作相對簡單,但干細胞可能會在關節腔內擴散,難以在損傷部位形成足夠的聚集;而局部植入則可以將干細胞直接放置在損傷部位,但對操作技術要求較高。
- 聯合治療:干細胞治療聯合其他治療方法,如物理治療、藥物治療等,可能會提高治療效果。物理治療可以改善局部血液循環,促進干細胞的存活和分化;藥物治療可以減輕炎癥反應,為干細胞的修復創造良好的環境。例如,在干細胞治療的同時,給予患者適當的抗炎藥物,有助于減輕關節的炎癥,提高干細胞的治療效果。
術后康復因素
- 康復訓練:合理的康復訓練對于干細胞治療半月板損傷的療效至關重要。術后早期進行適當的康復訓練,可以促進關節液的循環,為半月板的修復提供營養物質,同時還可以防止關節粘連和肌肉萎縮。但康復訓練的強度和時間需要根據患者的恢復情況進行調整,過度的訓練可能會導致損傷部位再次受損,影響治療效果。
- 生活方式:患者術后的生活方式也會影響治療效果。保持健康的生活方式,如合理飲食、充足睡眠、避免過度負重等,有助于維持身體的良好狀態,為干細胞的修復創造有利條件。相反,如果患者在術后仍然保持不良的生活習慣,如長期熬夜、過度飲酒等,可能會影響身體的恢復,降低干細胞的治療效果。
總結
干細胞治療半月板損傷的探索,正從短期癥狀緩解邁向長期組織再生的新紀元。通過關節腔內注射的干細胞,在短期內通過分泌抗炎因子(如IL-10、TGF-β)快速抑制滑膜炎癥,并釋放生長因子促進內源性祖細胞遷移,使患者疼痛評分下降、關節活動度顯著提升。
未來,隨著3D生物打印仿生支架、基因編輯增強抗炎特性等技術的融合,干細胞療法將突破現有局限,真正實現從“延緩退變”到“功能再生”的跨越,為半月板損傷治療開啟無創修復的新范式。
若想了解更多關于半月板損傷和干細胞治療半月板損傷的信息請點擊此處!
參考資料:
1、Olivos-Meza A, Pérez Jiménez FJ, Granados-Montiel J, et al. First clinical application of a polyurethane meniscus scaffold with mesenchymal stem cells and evaluation of cartilage quality by T2 imaging after 12 months. Cartilage. 2019;13(1_suppl):197S-207S. doi: 10.1177/1947603519852415
2、https://onlinelibrary.wiley.com/doi/10.1155/2021/6614232
3、Sekiya I, Koga H, Otabe K, et al. Add-on application of synovial mesenchymal stem cell transplantation after surgical repair of complex degenerative tears of the medial meniscus of the knee: a case report. Cell Transplant. 2019;28(11):1445-1454. doi: 10.1177/0963689719863793
4、Sekiya I, Koga H, Katano H, Mizuno M, Kohno Y, Otabe K, Ozeki N. Second-look arthroscopy after meniscus repair and synovial mesenchymal stem cell transplantation to treat degenerative flaps and radial tears of the medial meniscus: A case report. J Orthop Sci. 2022 Jul;27(4):821-834. doi: 10.1016/j.jos.2021.04.015. Epub 2021 Jun 10. PMID: 34120825.
免責說明:本文僅用于傳播科普知識,分享行業觀點,不構成任何臨床診斷建議!杭吉干細胞所發布的信息不能替代醫生或藥劑師的專業建議。
版權說明:本文來自杭吉干細胞科技內容團隊,歡迎個人轉發至朋友圈,謝絕媒體或機構未經授權以任何形式轉載至其他平臺,轉載授權請在網站后臺下方留言獲取。
掃碼添加官方微信